Hydrologické údaje
Základní údaje o vodních tocích na území města Klimkovice
Město Klimkovice spadá do působnosti Povodí Odry, státní podnik.
Nejvýznamnějšími vodními toky na území města jsou Polančice a Rakovec.

Vodní toky na území města Klimkovice
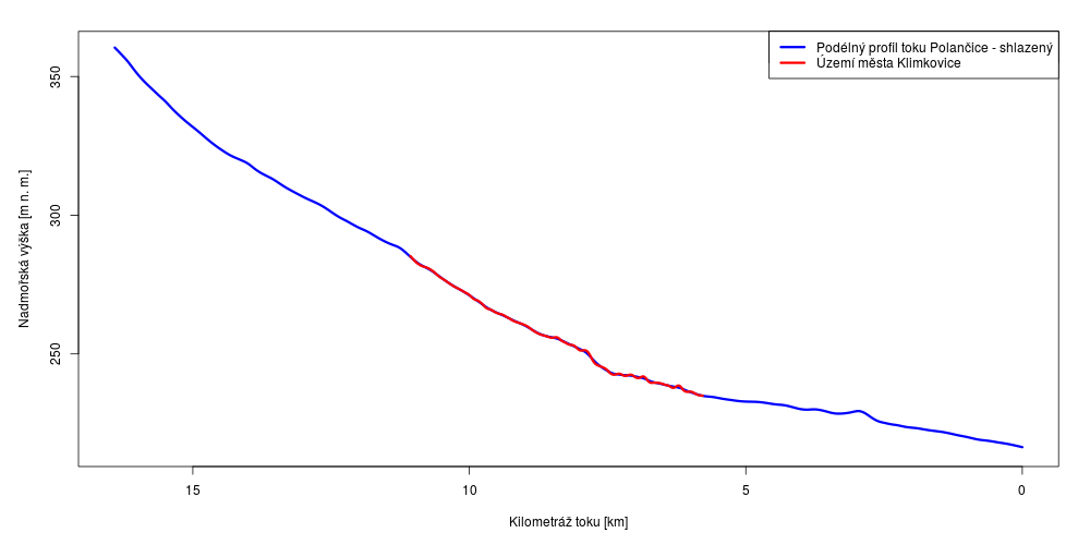
Polančice pramení v Nízkém Jeseníku, ve východní části Kyjovic (okres Opava), v nadmořské výšce cca 345 m. Pramen vyvěrá z potrubí ze svedení vodních toků v Kyjovicích. Potok z jihu obtéká kopce Dubské, Horník a vesnici Čavisov, kde vtéká do Přírodního parku Oderské vrchy. Polančice dále protéká Údolím Polančice mezi vesnicemi Zbyslavice, Hýlov, Olbramice a kopci Mezihoří a Podklan. Před místem (rozcestníkem turistických stezek) U staré vodárny míjí zprava starou vodárnu (bývalá studna krytá klenbou). Na levém břehu a ve svahu lze občasně vidět výchozy břidlic. Polančice dále teče pod dálnicí D1, za kterou opouští Přírodní park Oderské vrchy a následně teče intravilánem Klimkovic a Polanky nad Odrou, kde je z důvodů povodňové ochrany tok regulován. V těchto obcích je také zdrojem vody pro několik rybníků. Potok pak protéká Chráněnou krajinnou oblastí Poodří a u rybníka Kačírek se pak zleva napojuje na řeku Odru. Celková délka toku je 16,97 km a plocha povodí činí 30,4 km2.
Rakovec pramení na území města Klimkovice v zalesněné oblasti nad sanatoriem Klimkovice v nadmořské výšce cca 325 m. Teče jihovýchodním směrem, kde v ř. km 2,9 protéká vodní nádrží Mexiko. Dále pokračuje jihovýchodním směrem, protéká pod dálnicí D1, soustavou vodních nádrží (Oleják I, II, III, Tisův r., Písečný r.) a následně vtéká do intravilánu města Klimkovice. Zde se vlévá do Polančice v jejím ř. km 6,16. Celková délka toku je 4,27 km.

Podélný profil vodního toku Polančice

Podélný profil vodního toku Rakovec
Základní údaje o vodních dílech na území města Klimkovice
Na území města Klimkovice se nachází celkem devět vodních děl. Některé tyto nádrže mohou ovlivnit povodňovou situaci ve městě, ať už pozitivně akumulací přívalové vody nebo negativně přetečením. Více viz kapitola Odtokové poměry.