Hydrologické údaje
Základní údaje o vodních tocích na území města Ronov nad Doubravou
Nejvýznamnější vodní tok, z hlediska povodňového ohrožení, na území města Ronov nad Doubravou je Doubrava. Číslo hydrologického pořadí 1-03-05-0210-2-00, 1-03-05-0230-0-00, 1-03-05-0270-0-00, 1-03-05-0290-0-00, 1-03-05-0310-0-00.
Celková délka tohoto vodního toku činí 88,3 km s plochou povodí 592,4 km2. Tok pramení v kraji Vysočina, ve Žďárských vrších poblíž Radostína v 626 m n. m. Vodní tok Doubrava přitéká do území města z jihovýchodu, kde protéká lesy podél hranice katastrálního území, následně mění směr na severozápad, kde protéká Chittussiho údolím a obtéká intravilán města Ronov nad Doubravou. Následně se vodní tok Doubrava stáčí na západ a opouští území města Ronov nad Doubravou. Významný levostranný přítok na území města je Mlýnský potok. Významné pravostranné přítoky na území města jsou Běstvinský potok, Zlatý potok, Lovětínský potok a Kurvice. Ústí jako levostranný přítok do Labe, u Záboří nad Labem, ve výšce 198 m n. m.
Dále zájmovým územím protéká vodní tok Doubravka, Kurvice, Lovětínský p. a Zlatý potok.
Vodní tok Doubrava je ustanoven ve vyhlášce č. 178/2012 Sb., kterou se stanoví seznam významných vodních toků a způsob provádění činností souvisejících se správou vodních toků, jako významný vodní tok.
Základní hydrologické charakteristiky vodního toku Doubrava ve vybraných profilech
| Místo profilu | ř. km | Qa [m3/s] | N-leté průtoky [m3/s] | ||||||
|---|---|---|---|---|---|---|---|---|---|
| 1 | 2 | 5 | 10 | 20 | 50 | 100 | |||
| Hlásný profil kat. A Žleby, Doubrava | 23,8 | 2,76 | 23,4 | -- | 68,0 | 95,7 | -- | 182,0 | 229,0 |
| Hlásný profil kat. B Pařížov, Doubrava | 40,4 | 1,76 | 11,2 | -- | 34,8 | 50,1 | -- | 99,1 | 127,0 |

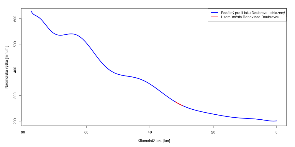
Podélný profil vodního toku Doubrava
Zlatý potok (číslo hydrologického pořadí 1-03-05-0260-0-00) pramení severně od Seče v nadmořské výšce 532 m n. m. Teče převážně západním směrem. Potok dále protéká obcí Kraskov, pod kterou napájí rybníky Horní a Dolní Peklo. Pod těmito rybníky potok proráží hřbet Železných hor směrem k Třemošnici, kterou následně protéká. Toto hluboké údolí známé jako Hedvíkovská rokle je součástí národní přírodní rezervace Lichnice - Kaňkovy hory. Zhruba po dalších dvou kilometrech nedaleko Mladotic ústí Zlatý potok zprava do Doubravy na jejím 34,7 ř.km v nadmořské výšce 267 m. Průměrný průtok u ústí činí 0,22 m³/s, celková délka toku je 9,9 km, plocha povodí 27,5 km².
Lovětínský potok (číslo hydrologického pořadí 1-03-05-0280-0-00) pramení severně od Zbyslavce, u místního rybníka, v nadmořské výšce okolo 510 m. Na horním toku protéká lesnatou krajinou jihovýchodním směrem, postupně se však obrací k jihu až jihozápadu. O něco níže po proudu vzdouvá jeho vody Lovětínský rybník. Pod tímto rybníkem si potok razí cestu hlubokým údolím známým jako Lovětínská rokle mezi Krkaňkou (567 m n. m.) a vrchem Světlice (504 m n. m.), na němž se vypíná zřícenina hradu Lichnice. Po opuštění rokle se potok obrací k západu, protéká obcí Závratec a směřuje dále k Ronovu nad Doubravou, kde se vlévá do řeky Doubravy na jejím 31,3 ř.km v nadmořské výšce okolo 245 m.
Potok Kurvice (číslo hydrologického pořadí 1-03-05-0300-0-00) je pravostranný přítok řeky Doubravy. Zpočátku teče v lesích Železných hor severozápadním směrem. U vesnice Licoměřice se stáčí na jihozápad, protéká Bousovem a na západním okraji Ronova nad Doubravou se vlévá se do Doubravy v nadmořské výšce 237 m. Kurvice na své cestě napájí rybník Beran u Ronova nad Doubravou.

Vodní toky na území města Ronov nad Doubravou
Základní údaje o vodních dílech na území města Ronov nad Doubravou
Na území města Ronov nad Doubravou se nachází celkem 8 vodních děl. Největší z nich je Nový rybník. Tato vodní plocha má největší potenciál ovlivnit odtokové poměry v intravilánu města. V části Ronov nad Doubravou se dále vyskytují vodní díla Utopenec, Horní rybník a Beran.
Další vodní plocha se nachází v blízkosti Chittussiho údolí, u památných stromů v Mladoticích a u zámku Moravany. V části Moravany při katastrální hranici s Heřmanicemi je situován Chalupecký rybník.
Nad městem na vodním toku Doubrava se nachází VD Pařížov, které by mohlo v případě havárie vyvolat povodeň většího rozsahu a způsobit ohrožení města Ronov nad Doubravou.