Hydrologické údaje
Základní údaje o vodních tocích na území obce Kostelec u Holešova
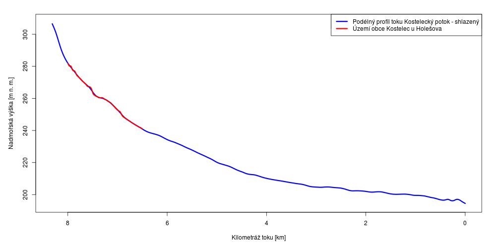
Nejvýznamnější vodní tok, z hlediska povodňového ohrožení, na území obce Kostelec u Holešova je Kostelecký potok. Číslo hydrologického pořadí je 4-12-02-1310-0-00. Kostelecký potok pramení v severní části zastavěného území Kostelce u Holešova na východním svahu výškového bodu Holý kopec v nadmořské výšce přibližně 308 m n. m. Směr toku přes zastavěné území obce je jihovýchodní. Dále tok pokračuje do katastrálního území obce Němčice, kde míjí východně zastavěné území, směr toku je jižní. Dále jižním směrem pokračuje přes obec Pravčice až na východní hranici katastru města Hulín, kde se v těsné blízkosti dálnice D 55 a jejího sjezdu vlévá zprava do vodního toku Rusava v ř. km 7,8. Celková délka toku činí 8,37 km.
Kostelecký potok není ustanoven ve vyhlášce č. 178/2012 Sb., kterou se stanoví seznam významných vodních toků a způsob provádění.

Podélný sklon vodního toku Kostelecký potok
Bezejmenný tok (číslo hydrologického pořadí 4-12-02-1310-0-00) pramení na katastrálním území sousední obce Stará Ves v těsné blízkosti západní hranice s Kostelcem u Holešova v nadmořské výšce přibližně 296 m n. m. Dále teče jihovýchodně do zastavěné části Kostelce, kde ústí zprava do Kosteleckého potoka. Celková délka toku je 0,56 km.

Vodní toky na území obce Kostelec u Holešova
Základní údaje o vodních dílech na území obce Kostelec u Holešova
Na území obce Kostelec u Holešova se nenachází žádná vodní nádrž.