Hydrologické údaje
Základní údaje o vodních tocích na území obce Janovice
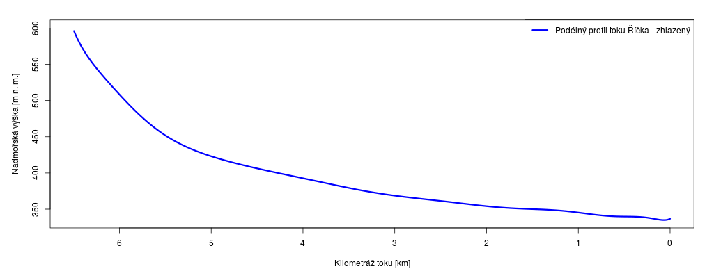
Celé katastrální území obce spadá do působnosti Povodí Odry, státní podnik. Nejvýznamnějším vodním tokem z pohledu obce je Říčka. Říčka pramení v severozápadní části katastrálního území obce Krásná. Teče směrem na sever, v intravilánu obce Janovice se stáčí západním směrem a v západní části intravilánu ústí do Bystrého potoka. Celková délka Říčky činí 5,9 km. V intravilánu obce ústí do Říčky dva vodní toky označené stejným názvem - LP Říčka.
Podélný profil vodního toku Říčka
Delším tokem než Říčka je Bystrý potok (délka 10,9 km, plocha povodí 20,3 km2), jenž však nezasahuje přímo intravilán obce. Bystrý potok pramení v západní části katastru obce Krásná na severním úbočí hory Kykulka. Celá délka toku směřuje severozápadním směrem. V katastru obce Janovice tvoří část hranice katastrálního území a v západní části intravilánu do něho ústí vodní tok Říčka. Po opuštění obce Baška ústí zprava do řeky Ostravice.

Podélný profil vodního toku Bystrý p.
Severovýchodní částí katastru obce protéká vodní tok Baštice (délka 11,8 km, plocha povodí 19,9 km2), který tvoří část hranice katastrálního území. Vodní tok pramení na severním svahu hory Kyčera (906 m n. m.) v nadmořské výšce ca 525 m. Od pramene po ústí teče zhruba severozápadním směrem. Do Ostravice ústí zprava v nadmořské výšce 295 m.

Vodní toky na území obce Janovice
Základní údaje o vodních dílech na území obce Janovice
Na území obce Janovice se nachází celkem pět vodních děl, z nich většina leží mimo koryta řek. Pouze jedna bezejmenná vodní nádrž leží (obtočně) na vodním toku Říčka, její rozloha je necelých 0,3 ha a svým umístěním představuje potenciální ohrožení odtokových poměrů. Nádrž je v soukromém vlastnictví.