Hydrologické údaje
Základní údaje o vodních tocích na území městyse Brankovice
Nejvýznamnější vodní tok, z hlediska povodňového ohrožení, na území městyse Brankovice je Litava (Cézava). Číslo hydrologického pořadí 4-15-03-0340-0-00, 4-15-03-0360-0-00, 4-15-03-0380-0-00. Litava pramení ve Chřibech jižně od vrcholu Gavendova skála v nadmořské výšce 494 m. Od pramene teče tok západním směrem až k městu Slavkov u Brna, kde se stáčí jihozápadně v Židlochovicích se levostranně vlévá do Svratky. Na území městyse Brankovice vstupuje tok poblíž zemědělského areálu a následně jej překonává několik mostů a lávek. Plocha povodí činí 789,8 km2 s délkou toku 58,3 km. 
Litava (Cézava) je ustanovena ve vyhlášce č. 178/2012 Sb., kterou se stanoví seznam významných vodních toků a způsob provádění činností souvisejících se správou vodních toků, jako významný vodní tok.
Základní hydrologické charakteristiky Litavy (Cézavy)
| Místo profilu | ř. km | Qa [m3/s] | N-leté průtoky [m3/s] | ||||
|---|---|---|---|---|---|---|---|
| 1 | 5 | 10 | 50 | 100 | |||
| Hlásný profil kat. B Brankovice, Litava | 45,7 | 0,2024 | 4 | 10,4 | 14,1 | 25,1 | 31 | 

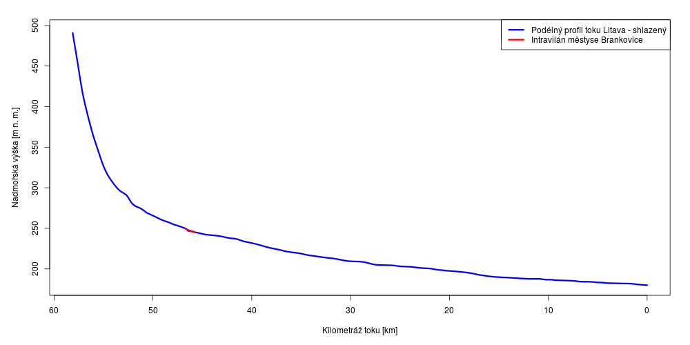
Podélný profil vodního toku Litava (Cézava)
Litenčický potok (číslo hydrologického pořadí 4-15-03-0350-0-00) pramení na území Litenčic ve výšce cca 335 m n. m. Následně vodní tok teče jihozápadním směrem a poblíž obce Kunkovice napájí bočně dva menší rybníky. U obce Nemochovice napájí opět bočně další rybník a přibírá svůj pravostranný přítok Nemochovický potok. Nedaleko odtud vstupuje na katastrální území městyse Brankovice a bočně napájí svůj největší rybník a to Hlavatku. Vodní tok ústí zprava do Litavy. Celková délka vodního toku činí 8,27 km.

Vodní toky na území městyse Brankovice
Základní údaje o vodních dílech na území městyse Brankovice
Na území městyse Brankovice se nachází pouze jedna vodní nádrž. Jedná se o vodní dílo jménem Hlavatka, které se nachází severně od intravilánu městyse.
