Hydrologické údaje
Základní údaje o vodních tocích na území obce Újezd
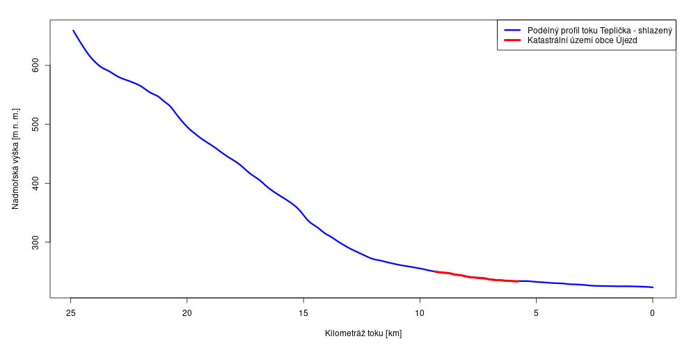
Nejvýznamnější vodní tok, z hlediska povodňového ohrožení, na území obce Újezd je Teplička. Číslo hydrologického pořadí 4-10-03-0631, 4-10-03-0632. Teplička pramení v obci Jiříkov v části Kouty v nadmořské výšce 660 m. Teplička protéká přes Jiříkov, Křížov, Paseku, Újezd a Žerotín, kde se vlévá do řeky Oskavy v 10,3 ř. km. V části Haukovice se nachází před vstupem do intravilánu rozdělující objekt, který slouží k odlehčení průtoku a převedení části vody do bezejmenného toku (IDVT: 10191207). Ještě v Haukovicích vodní tok Teplička bočně napájí dva rybníky. Následně tok směřuje jižně do Újezdu, kde v celé své délce má upravené kapacitní koryto a nepůsobí zde významné problémy.

Podélný sklon vodního toku Teplička
Dalším významným tokem z hlediska povodní je Říčí (číslo hydrologického pořadí 4-10-03-0650). Pramení poblíž železniční trati severně od části Rybníček. Následně teče na jih přes intravilán Rybníčku, kde napájí přímo nebo bočně několik menších vodních nádrží. Následně teče směrem na Hnojice až do Štěpánova, kde zleva posiluje vodní tok Oskava.

Vodní toky na území obce Újezd
Základní údaje o vodních dílech na území obce Újezd
Na území obce Újezd se nachází několik menších vodních nádrží, z nichž největší je Haukovický rybník. Ten je bočně napájen z vodního toku Teplička a provozuje jej Rybářství Přerov, a.s. Dalším vodním dílem je rybník uprostřed části Rybníček, ten je přímo napájen tokem Říčí a provozují jej rybáři Uničov. Další nádrže na území obce Újezd významně neovlivňují průběh povodně.