Hydrologické údaje
Základní údaje o vodních tocích na území obce Trojanovice
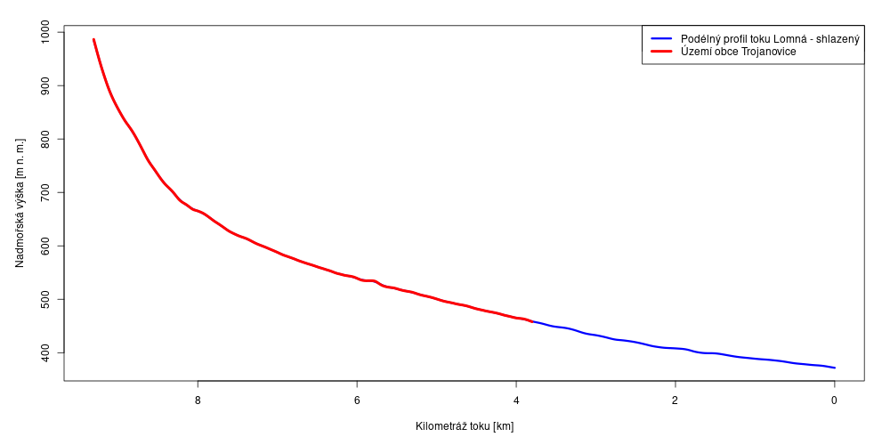
Nejvýznamnější vodní tok, z hlediska povodňového ohrožení, na území obce Trojanovice je tok Lomná. Číslo hydrologického pořadí 2-01-01-1280. Tok Lomná pramení v katastru obce pod vrcholem Radegast ve výšce 990 m n. m. Tok směřuje od pramenu k severozápadu. Tok ústí do řeky Lubiny s celkovou délkou 9,4 km.
Základní hydrologické charakteristiky toku Lomná
| Místo profilu | ř. km | N-leté průtoky [m3/s] | ||||||
|---|---|---|---|---|---|---|---|---|
| 1 | 2 | 5 | 10 | 20 | 50 | 100 | ||
| Hlásný profil kat. C tok Lomná | 4,63 | 7 | 13 | 20 | 25 | 30 | 36 | 40 |

Podélný sklon vodního toku Lommá
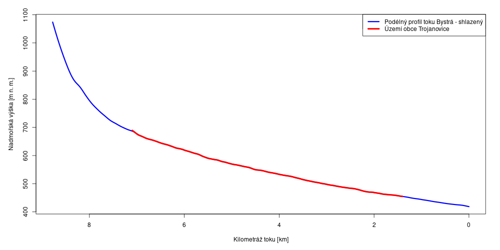
Dalším významným vodním tokem z hlediska povodňového ohrožení pro území obce Trojanovice je tok Bystrá. Číslo hydrologického pořadí toku je 2-01-01-1290. Tok pramení v Beskydech, konkrétně pod vrcholem Kněhyně, ve přibližné výšce 1075 m n.m. na území obce Čeladná. Celková délka toku dosahuje 8,9 km.
Základní hydrologické charakteristiky toku Bystrá
| Místo profilu | ř. km | N-leté průtoky [m3/s] | ||||||
|---|---|---|---|---|---|---|---|---|
| 1 | 2 | 5 | 10 | 20 | 50 | 100 | ||
| Hlásný profil kat. C tok Bystrá | 1,57 | 7 | 12 | 19 | 24 | 29 | 36 | 41 |

Podélný sklon vodního toku Bystrá
Dle historických zkušeností jsou z hlediska ohrožení povodní také významné toky: Lánský potok, soutok Velkého Škaredého potoka s Radhošťským potokem, Malý Škaredý potok, Rokytný potok a Lubina. Území obce je typické vysokou hustotou drobných vodních toků, z nichž většina pramení přímo v katastru obce nebo na přilehlých svazích Radhoště a dalších beskydských vrcholů. Tyto toky mají převážně bystřinný charakter s rychlou reakcí na srážkové úhrny.
Základní hydrologické charakteristiky toku Lubina
| Místo profilu | ř. km | N-leté průtoky [m3/s] | ||||||
|---|---|---|---|---|---|---|---|---|
| 1 | 2 | 5 | 10 | 20 | 50 | 100 | ||
| Hlásný profil kat. C tok Lubina | 33,3 | 4 | 8 | 12 | 16 | 19 | 23 | 27 |
Základní hydrologické charakteristiky toku Rokytný potok
| Místo profilu | ř. km | N-leté průtoky [m3/s] | ||||||
|---|---|---|---|---|---|---|---|---|
| 1 | 2 | 5 | 10 | 20 | 50 | 100 | ||
| Hlásný profil kat. C tok Lubina | 0,94 | 4 | 7,5 | 11,5 | 14,5 | 17 | 21 | 24 |

Vodní toky na území obce Trojanovice
Základní údaje o vodních dílech na území obce Trojanovice
Vodní díla (viz také ustanovení § 55 Vodního zákona) jsou stavby budované na toku sloužící k jeho využití. Tyto stavby pak bezprostředně více či méně ovlivňují a upravují přirozený průtok vody v korytech přirozených nebo umělých. Hlavními vodními díly ovlivňujícími odtokové poměry jsou:
- vodní nádrž - prostor vytvořený vzdouvací stavbou na vodním toku, využitím přírodní nebo umělé prohlubně na zemském povrchu nebo ohrazováním části území, určený k akumulaci vody a k řízení odtoku.
- jez - vzdouvací zařízení vybudované v korytě toku, které v něm trvale nebo dočasně vzdouvá vodu k různým vodohospodářským účelům.
Na území obce Trojanovice se nachází celkem 2 vodní nádrže. Jedná se o VN Lánský potok - Trojanovice a VN Lubina. Obě nádrže spadají do IV. kategorie TBD. VN Lánský potok - Trojanovice se nachází na Lánském potoce ve 2. kilometru. VN Lubina se nachází na vodním toku Lubina ve 34. kilometru. Dále se v obci nachází pár malých vodní nádrží - rybníků.