Hydrologické údaje
Základní údaje o vodních tocích na území města Šlapanice
Územím protéká vodní tok Říčka (Zlatý potok) s jejím levostranným přítokem Roketnicí. Dále zasahuje do katastru vodní tok Dunávka, ale pouze okrajově ve své pramenné oblasti v jižní části katastru nedaleko letiště Tuřany. Tento tok nepředstavuje přímé riziko pro město.
Říčka (správce Povodí Moravy, s.p.)
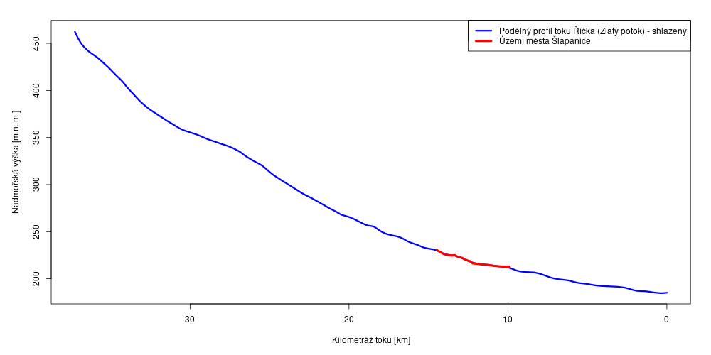
Vodní tok Říčka, pramenící nedaleko obce Račice, protéká střední částí katastrálního území včetně města Šlapanice a je významným přítokem vodního toku Litava (Cézava) do které ústí u obce Měnín v jejím ř. km 7,22. Než se vlévá do města, sleduje vodní tok Říčka směr jihojihozápadní, poté se až po ústí Roketnice stáčí na směr jihojihovýchodní a od něj opět proudí ve směru jihojihozápadním.
Roketnice (správce Povodí Moravy, s.p.)
Tento potok protéká východní hranici katastrálního území od severu k jihu a zleva se vlévá do Říčky u obce Ponětovice v jejím ř. km. 10,4. Přibližně 700 m nad soutokem s Říčkou se na Roketnici nachází Ponětovický rybník se sádkami pro ryby pod hrází.
Ostatní drobné toky
Nebezpečí hrozí od srážek velké intenzity (i přes 100 mm za 1 hodinu), které způsobují extrémně rychlé povodně s velmi rychlým nárůstem průtoku a hladin.

Podélný sklon vodního toku Říčka (Zlatý potok)

Vodní toky na území města Šlapanice
Základní údaje o vodních dílech na území města Šlapanice
Na území města Šlapanice částečně zasahuje Ponětovický rybník. Výše na toku Říčky se nachází několik vodních děl, které by mohly mít negativní vliv na její odtokové poměry. Jedná se především o vodní plochy U Kadlcova Mlýna (Říčky I), Pod hrádkem (Říčky II), U Muchovy boudy a Zukalův rybník.