Hydrologické údaje
Základní údaje o vodních tocích na území obce Rudník
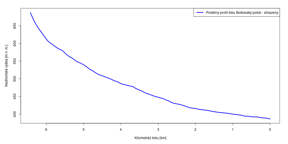
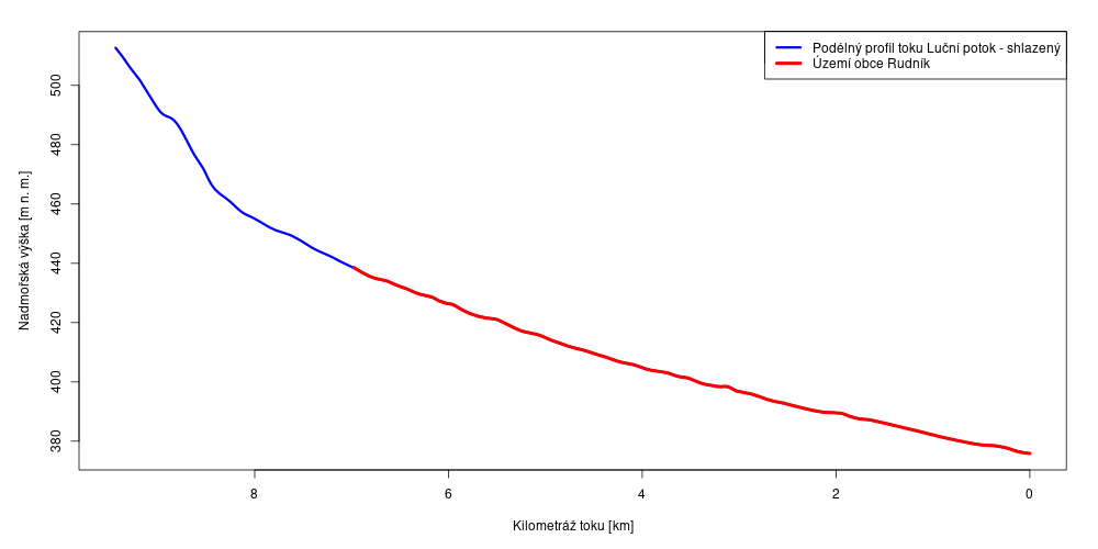
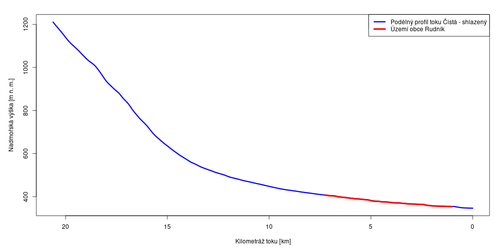
Rudník má ve svém katastrálním území několik drobných vodních toků - říčku Čistou a potoky Luční, Javornický, Bolkovský a Janovický. Čistá pramení v Krkonoších pod Liščí horou, její délka je 13 km. V horním úseku je široká 4-6 metrů, v dolním 5-9 metrů. V Hostinném se vlévá do Labe. Luční potok je levostranný přítok Čisté. Pramení v sousední obci Hertvíkovice, Leopoldovem i Rudníkem teče několik kilometrů podél silnice. Délka toku je přibližně 10 km. Pravostrannými přítoky Lučního potoka jsou Javornický potok o délce 4,16 km, Janovický o délce 5,5 km, a Bolkovský potok, který přitéká z Bolkova a je dlouhý 6,5 km.
Vodní tok Čiská je ustanoven ve vyhlášce č. 178/2012 Sb., kterou se stanoví seznam významných vodních toků a způsob provádění činností souvisejících se správou vodních toků, jako významný vodní tok.

Podélný sklon vodního toku Bolkovský potok

Podélný sklon vodního toku Luční potok

Podélný sklon vodního toku Čistá

Vodní toky na území obce Rudník
Základní údaje o vodních dílech na území obce Rudník
Na území obce Rudník se nachází několik menších vodních nádrží, z nichž žádná nepředstavuje pro obec významné riziko.