Hydrologické údaje
Základní údaje o vodních tocích na území obce Písečná
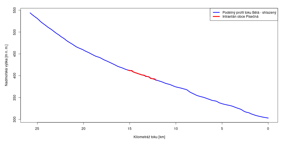
Nejvýznamnější vodní tok, z hlediska povodňového ohrožení, na území obce Písečná je Bělá. Řeka pramení pod Videlským sedlem v centrální části Hrubého Jeseníku v nadmořské výšce 870 m. Do území obce proniká z jihozápadu a lemuje zastavěné území a následně na východě obec opouští. Následně pokračuje na území Širokého Brodu a Mikulovic. Severovýchodně od Mikulovic v nadmořské výšce 300 m protéká na hranicích s Polskem a opouští ČR. V Polsku ústí do Kladské Nisy, levostranného přítoku Odry u Glębinowského jezera poblíž polského města Nisa. Délka vodního toku je 54,9 km a plocha povodí je 396 km2.
Vodní tok Bělá je ustanoven ve vyhlášce č. 178/2012 Sb., kterou se stanoví seznam významných vodních toků a způsob provádění činností souvisejících se správou vodních toků, jako významný vodní tok.
Základní hydrologické charakteristiky Bělé
| Místo profilu | ř. km | Qa [m3/s] | N-leté průtoky [m3/s] | ||||
|---|---|---|---|---|---|---|---|
| 1 | 5 | 10 | 50 | 100 | |||
| Hlásný profil kat. A Mikulovice, Bělá | 4,93 | 3,79 | 30,9 | 88,3 | 122 | 219 | 270 |
| Hlásný profil kat. C Jeseník, Bělá | -- | 2,23 | 15,6 | 47,5 | 67,8 | 132 | 168 |

Podélný sklon vodního toku Bělá
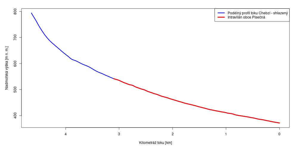
Chebzí (číslo hydrologického pořadí 1-15-01-026) pramení na východním úpatí vrcholu Bílé skály ve výšce cca 715 m n. m. Následně vodní tok teče severním směrem do stejnojmenné části obce. Potok překonává množství mostů místní komunikace a lávek pro pěší. Následně teče do části Studený Zejf, kde ústí zprava do řeky Bělé. Celková délka vodního toku činí 4,7 km.

Podélný sklon vodního toku Chebzí

Vodní toky na území obce Písečná
Základní údaje o vodních dílech na území obce Písečná
Na území obce Písečná se nachází pouze menší vodní nádrže, které významnou měrou nemohou ovlivnit průběh povodně.