Hydrologické údaje
Základní údaje o vodních tocích na území obce Lichnov
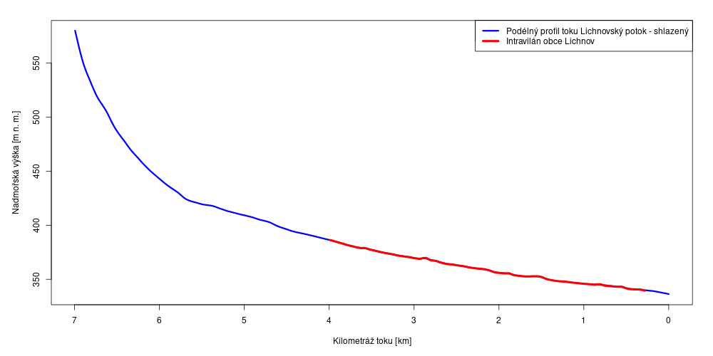
Nejvýznamnější vodní tok, z hlediska povodňového ohrožení, na území obce Lichnov je Lichnovský potok. Číslo hydrologického pořadí 2-01-01-1320. Lichnovský potok pramení v sousedí obci Bordovice na severním svahu Velkého Javorníku v nadmořské výšce 580 m n. m. Od pramene teče potok severně a následně přes Bordovice a Lichnov severovýchodně až k ústí do Lubiny

Podélný sklon vodního toku Lichnovský potok
Dalším významným tokem je řeka Lubina. Pramení v k. ú. Trojanovice na severozápadním úbočí Radhoště ve výšce 740 m n. m. Celková délka toku je 37,1 km a plocha povodí 193,74 km2. Lubina ústí zprava do středního úseku Odry (nad Ostravou). Územím obce Lichnov protéká na severovýchodě území.
Lubina je ustanovena ve vyhlášce č. 178/2012 Sb., kterou se stanoví seznam významných vodních toků a způsob provádění činností souvisejících se správou vodních toků, jako významný vodní tok.

Vodní toky na území obce Lichnov
Základní údaje o vodních dílech na území obce Lichnov
Na území obce Lichnov se nachází pouze malé vodní nádrže, které významnou měrou neovlivňují průběh povodně na území obce Lichnov.