Hydrologické údaje
Základní údaje o vodních tocích na území obce Havlovice
Nejvýznamnější vodní tok, z hlediska povodňového ohrožení, na území obce Havlovice je Úpa.
Úpa pramení v Krkonoších dva kilometry západně od Sněžky, na Bílé louce severně od Studniční hory poblíž česko-polské státní hranice. Pramen se nachází v Úpském rašeliništi v I. zóně Krkonošského národního parku.
Úpa je se svým prameništěm ve výšce 1432 metrů nad mořem nejvýše pramenící českou řekou. Nedaleko od svého prameniště spadá na Úpské hraně do Úpské jámy o téměř 400 m. V této části vytváří Horní úpský vodopád. Asi kilometr po proudu leží Dolní úpský vodopád, v místě, kde se do Úpy vlévá Rudný potok, jenž pramení na vrcholu Sněžky. Odtud míří k jihu Obřím dolem a Bukovým údolím do významného horského střediska Pece pod Sněžkou. V Peci se obrací k východu až jihovýchodu ke středisku Velká Úpa. Za Velkou Úpou se obrací k jihovýchodu a přijímá zleva řeku Malou Úpu, pod Hrádkem se vtéká do Temného Dolu a následně do Horního Maršova, kde přijímá Lysečinský potok a otáčí se k jihu směrem k Dolnímu Maršovu a městu Svoboda nad Úpou.
Pod Svobodou opouští Úpa geomorfologický celek Krkonoše a vstupuje do Krkonošského podhůří, přesněji do Mladobucké vrchoviny. V Mladých Bukách opouští Úpa definitivně ochranné pásmo Krkonošského národního parku a otáčí se k jihovýchodu k největšímu městu na jejím toku – Trutnovu. Vstupuje tak do Trutnovské pahorkatiny. V Trutnově se na čtyři kilometry obrací k severovýchodu a u elektrárny Poříčí, kde přijímá zleva Ličnou, opět mění směr k jihovýchodu. Protéká Bohuslavicemi, pod nimiž velkým obloukem obtéká ostroh, dosahuje 39. kilometru a tím druhé poloviny svého toku. Protéká Suchovršicemi a ve městě Úpici přijímá zleva říčku Rtyňku. Zde údolí Úpy opouští silnice I/14, která ji doprovází z Mladých Buků. V Havlovicích přijímá Úpa zprava Maršovku.
Od Havlovic, odkud až po Českou Skalici protíná Kocléřovský hřbet, nese údolí Úpy jméno Babiččino údolí podle Babičky, známého díla Boženy Němcové. Spisovatelka zde jako Barunka Panklová strávila své dětství. Na levém břehu Úpy mezi Havlovicemi a Ratibořicemi leží tři zříceniny středověkých hradů – Vízmburku, Červené Hory a Rýzmburku. Pod Boušínem se Úpa klikatí a pod Slatinským mlýnem je Babiččino údolí chráněno jako národní přírodní památka Babiččino údolí.
Od Ratibořic teče Úpa k jihozápadu, opouští Krkonošské podhůří a Krkonošsko-jesenickou soustavu a vtéká do celku Orlická tabule, která je součástí České tabule; u Velkého Třebešova přijímá zprava Válovický potok, protéká pod Doubravicí a Zvolí. Ze Zvole teče pod Zvolskou strání, kde naposledy zrychlí svůj tok peřejemi a u Jaroměře ústí Úpa ve 250 m n. m. zleva do Labe (viz soutok Úpy a Labe), v němž jsou její vody odváděny do Severního moře.
Úpa je ustanovena ve vyhlášce č. 178/2012 Sb., kterou se stanoví seznam významných vodních toků a způsob provádění činností souvisejících se správou vodních toků, jako významný vodní tok.

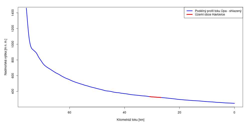
Podélný sklon vodního toku Úpa

Vodní toky na území obce Havlovice
Základní údaje o vodních dílech na území obce Havlovice
Na území obce Havlovice se nachází vodních nádrž Jindra, která spadá do IV. kategorie z hlediska TBD. Dále se na území obce nachází dva jezy a dvě malé vodní elektrárny - u Regnerova mlýna a u pily.