Hydrologické údaje
Základní údaje o vodních tocích na území obce Dolní Bělá
Nejvýznamnějším vodním tokem protékajícím územím obce Dolní Bělá je potok Bělá, který je pravostranným přítokem Třemošné.
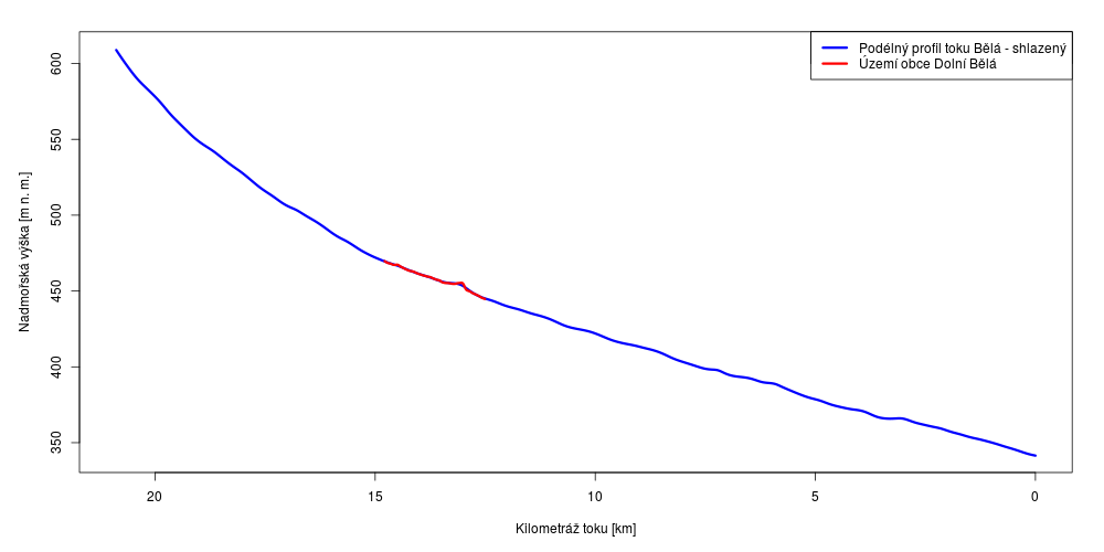
Bělá pramení na východním svahu Čertova vrchu ve výšce 605 m n. m., asi 8 km severozápadně od obce Dolní Bělá. Na území obce Dolní Bělá přijímá levostranný přítok Vesku. Bělá ústí zprava do Třemošné u Ledců v nadmořské výšce 350 m. Celková délka toku je 20,8 km, plocha povodí činí 86 km2 a průměrný průtok při ústí 0,15 m 3/s.
Veska pramení u osady Libenov v nadmořské výšce 570 m, protéká Alžbětiným údolím a v Dolní Bělé v části Berk se v nadmořské výšce 458 m vlévá zleva do Bělé. Celková délka toku je 6,7 km.

Podélný sklon vodního toku Bělá

Vodní toky na území obce Dolní Bělá
Základní údaje o vodních dílech na území obce Dolní Bělá
Na území obce Dolní Bělá se nacházejí vodní díla Zámecký rybník a Nový rybník. V k. ú. Horní Bělá se nachází Černý rybník. Podrobnější popis se nachází v kapitole Odtokové poměry.