Hydrologické údaje
Základní údaje o vodních tocích na území obce Dlouhá Ves
Území obce Dlouhá Ves spadá do působnosti Povodí Vltavy, státní podnik.
Nejvýznamnějším vodním tokem území je Otava.

Vodní toky na území obce Dlouhá Ves
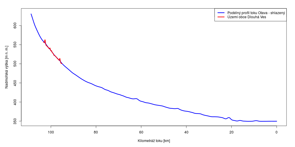
Řeka Otava je levostranným přítokem Vltavy, vzniká soutokem Vydry a Křemelné u Čeňkovy Pily na Šumavě v nadmořské výšce 618 m a do Vltavy se vlévá ve vodní nádrži Orlík v nadmořské výšce 302 m. Územím obce Dlouhá Ves protéká mezi 103. a 97. ř. km. Na území obce Dlouhá Ves tvoří Otava několik zákrutů a přibírá dva významnější přítoky (pravostranný Račí potok a levostranný Luční potok). Mimo území obce pak do Otavy zprava ústí Divišovský potok. Říční niva je ostře ohraničena strmými údolními svahy. Jedná se především o střední a horní části toku (98. až 103. ř. km). Na několika místech dochází k větvení Otavy do více ramen. Otava protéká v blízkosti několika průmyslových areálů, chatových osad, kempu a části Annín. Délka toku je 112,935 km.
Vodní tok Otava je ustanoven ve vyhlášce č. 178/2012 Sb., kterou se stanoví seznam významných vodních toků a způsob provádění činností souvisejících se správou vodních toků, jako významný vodní tok.

Podélný profil vodního toku Otava na území obce Dlouhá Ves
Račí potok pramení v katastrálním území Dolní Dvorce u Kašperských Hor, asi 3 km východně od Bohdašického mlýna, kde ústí do Otavy. Na území obce Dlouhá Ves do něj ústí jeden významnější pravostranný přítok. V celé svojí délce protéká zalesněným územím. Na hranici katastru obce Dlouhá Ves (u Příčné) podtéká místní komunikaci spojující Bohdašice a Tuškov. Délka toku je 3,215 km
Luční potok pramení u obce Hartmanice, asi 3,5 km západně od jeho ústí do Otavy. Na Lučním potoce a jeho přítocích leží celkem čtyři menší vodní nádrže. Luční potok podtéká komunikaci č. II/145 v části Nové Městečko a po asi 500 m ústí zleva do Otavy. Délka toku je 3,816 km
Divišovský potok pramení 1,7 km JV od Platoře a protéká po hranici katastrálního území Dlouhé Vsi směrem k Divišovu. Divišovský potok ústí zprava do Otavy mimo území obce Dlouhá Ves 700 m severně od Divišova. Z hydrologického hlediska je pro obec Dlouhá Ves významný především jeho bezejmenný přítok pramenící na úpatí Bohdašického vrchu (665 m), asi 600 m severně od Bohdašic. Tento tok protéká intravilánem obce Dlouhá Ves a nachází se na něm dvě vodní nádrže. Tento přítok ústí do Divišovského potoka mimo území obce Dlouhá Ves, pod obcí Divišov. Potok na několika místech podtéká místní komunikaci a v jednom místě podtéká i komunikaci č. II/169. Délka toku je 5,573 km
Základní údaje o vodních dílech na území obce Dlouhá Ves
Na území obce Dlouhá Ves se nachází několik menších vodních děl, z nichž největší je Panský rybník, ležící na přítoku Divišovského potoka v intravilánu obce. Na území obce Dlouhá Ves se také na vodním toku Otava nachází tři jezy.