Hydrologické údaje
Základní údaje o vodních tocích na území městyse Blížkovice
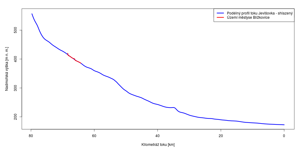
Nejvýznamnější vodní tok, z hlediska povodňového ohrožení, na území městyse Blížkovice je Jevišovka a Syrovický potok.
Jevišovka je malá moravská řeka tekoucí přes okresy Třebíč, Znojmo a krátce Břeclav. Je to levostranný přítok Dyje, měří 81,7 km, její povodí zabírá 787,1 km2.
Pramení západně od Komárovic poblíž Moravských Budějovic, pod kopcem Láč, kde se nachází rozvodí Jevišovky, Želetavky a Rokytné. Teče obecně na jihovýchod až východ, zhruba s paralelně s Dyjí. Na horním a středním toku napájí řadu rybníčků a nádrží, z nichž plošně největší je vodní nádrž Výrovice, sloužící pro závlahy a rekreaci.
Zatímco horní a dolní tok vede otevřenou, spíše bezlesou krajinou, střední tok se prořezává okrajem Jevišovické pahorkatiny v zaklesnutém meandrujícím údolí. Přírodně cenné a turisticky atraktivní okolí tohoto úseku je chráněno v přírodním parku Jevišovka. Za vysokých vodních stavů je tato pasáž atraktivní i pro sportovní vodáky. Pod Tvořihrází řeka vstupuje do Dyjsko-svrateckého úvalu a stává se nížinným, značně regulovaným tokem, v jehož nivě se místy nacházejí zbytky lužního lesa. Do Dyje se vlévá při obci Jevišovka, těsně u státních hranic s Rakouskem.
Vodní tok Jevišovka je ustanoven ve vyhlášce č. 178/2012 Sb., kterou se stanoví seznam významných vodních toků a způsob provádění činností souvisejících se správou vodních toků, jako významný vodní tok.
Syrovický potok má délku 13,74 km. Pramení na území obce Dědice, teče jihovýchodním směrem a protéká obcemi Nimpšov, Nové Syrovice, Láz a městysem Blížkovice. Ústí do Jevišovky v jejím ř. km 64,4. Vedení městyse Blížkovice v srpnu roku 2017 přistoupilo k obnovení původního koryta, jelikož při vyšších průtocích se voda vylévala z břehů do okolních polí a ornou půdu splavovala do blížkovického rybníka. Potoku o délce 1,2 kilometru vrátili jeho přirozené meandry, vytvořili mokřady, tůně a v okolí vysázeli stromy. Obnovené přírodě blízké koryto zpomaluje odtok vody, předchází erozi a zaplavování orné půdy a slouží jako útočiště pro raky, labutě a ledňáčky. Projekt celkově zvýšil retenční a akumulační schopnost místní krajiny.

Podélný sklon vodního toku Jevišovka

Podélný sklon vodního toku Syrovický p.

Vodní toky na území městyse Blížkovice
Základní údaje o vodních dílech na území městyse Blížkovice
Na území městyse se nachází celkem 3 vodní nádrže. Jedná se o Stehlíků rybník, Mácův rybník a Blížkovický rybník. Nádrže jsou ve vlastnictví městyse.